coeficiente de correlación

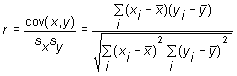
El coeficiente de correlación r es una medida de asociación lineal entre puntos ( xi , yi ), i = 1, ..., n , definido de la manera que vemos a continuación:

.

El coeficiente de correlación tiene un valor entre –1 i + 1: cuanto más cerca está la correlación a –1 o +1, más lineal es la relación, es a decir, se parece a una recta.

Estadística I (1)